仪器设备
首页 >> 实验平台 >> 仪器设备 >> 正文
动态旋转流变仪(6206)
2022-05-31

动态旋转流变仪

品牌:奥地利安东帕 Anton Paar)

型号:Anton Paar MCR302

所在实验室:6206

联系人:马天琛 029-88302460


性能特点

1. 旋转下最小扭矩:1nN.m

2. 振荡下最小扭矩:0.5nN.m

3. 最大扭矩:200mN.m

4. 扭矩分辨率:0.1nN.m

5. 角位移分辨率:10nrad

6. 旋转下最小转速:0.0000001rpm/min

7. 旋转下最大转速:3000rpm/min

8. 最小角频率:0.0000001rad/s

9. 最大角频率:628rad/s

10. 法向力范围:0.005-50N

11. 温度范围:帕尔贴加热 -20-200℃


应用范围

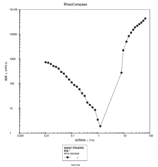
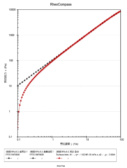
用于测试液体样品的流变学性质,如:聚合物熔体、聚合物溶液、胶体、乳液、悬浮液、表面活性剂、乳化剂、增稠剂、原油、盐溶液、碱溶液、驱油液等,可以测试粘度、剪切应力、流动曲线、粘度曲线、粘温曲线、屈服应力、触变性、粘弹性(储能模量\损耗模量)等各种重要的流变学参数。


效果展示